Volume 21, Issue 4 (December 2024)                   IJMSE 2024, 21(4): 79-90 | Back to browse issues page


XML Print


Download citation:
BibTeX | RIS | EndNote | Medlars | ProCite | Reference Manager | RefWorks
Send citation to:

Mehranian M, Ahmadimoghadam H. Effect of Pulse Electrodeposition Parameters on the Properties of Ni-Co/SiC-CeO2 Composite Coatings on Copper Substrates. IJMSE 2024; 21 (4) :79-90
URL: http://ijmse.iust.ac.ir/article-1-3745-en.html
Abstract:   (13112 Views)
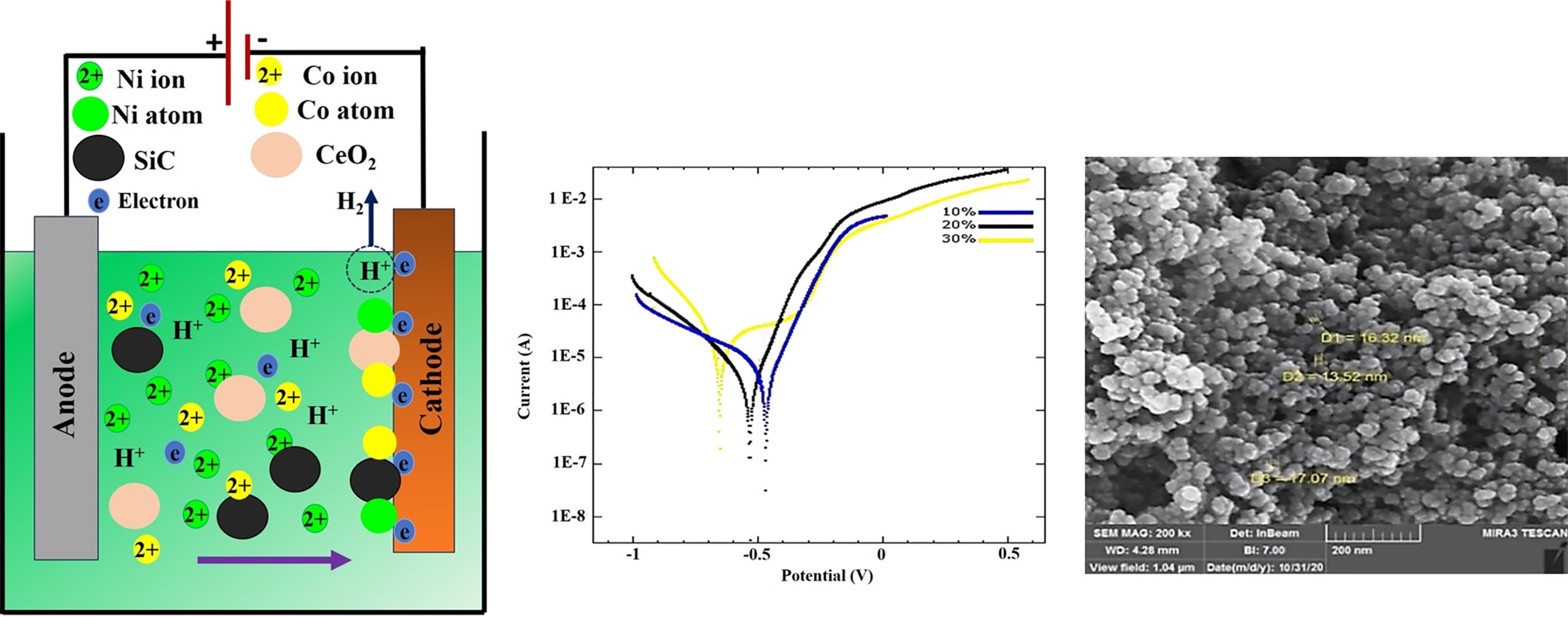
In this research study, a composite coating of Ni-Co/SiC-CeO2 was prepared on a copper substrate using the pulse electrodeposition technique. The effects of electrodeposition parameters, including current density, duty cycle, and frequency, on the properties of the prepared coating were investigated. The selected current density values were 0.1, 0.2, and 0.3 A/cm2, the duty cycle options were 10, 20, and 30%, and the frequency values were 10, 100, and 1000 Hz. Increasing the current density enhanced the microhardness of the coating but reduced its corrosion resistance. This behavior can be attributed to the grain refinement occurring within the coating as the current density increases. On the other hand, an increase in duty cycle resulted in a decrease in microhardness, which can be attributed to a decrease in the concentration of nanoparticles within the coating. The lower corrosion resistance observed at higher duty cycles could be attributed to the decrease in off-time, causing the pulse electrodeposition conditions to approach a DC (direct current) state. Furthermore, higher frequencies were found to be associated with increased microhardness and improved corrosion resistance of the coatings. The coatings with the highest corrosion resistance exhibited a corrosion current density of 0.29 µA/cm2 and a polarization resistance of 1063 Ω.cm2 in a 3.5% NaCl solution. These coatings were prepared using a current density of 0.2 A/cm2, a duty cycle of 10%, and a frequency of 1000 Hz.

 
Full-Text [PDF 1539 kb]   (3261 Downloads)    
Type of Study: Research Paper |

Add your comments about this article : Your username or Email:
CAPTCHA

Send email to the article author


Rights and permissions
Creative Commons License This work is licensed under a Creative Commons Attribution-NonCommercial 4.0 International License.

© 2022 All Rights Reserved | Iranian Journal of Materials Science and Engineering

Designed & Developed by : Yektaweb